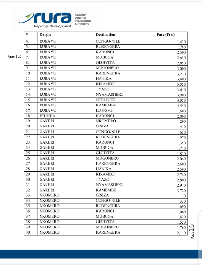
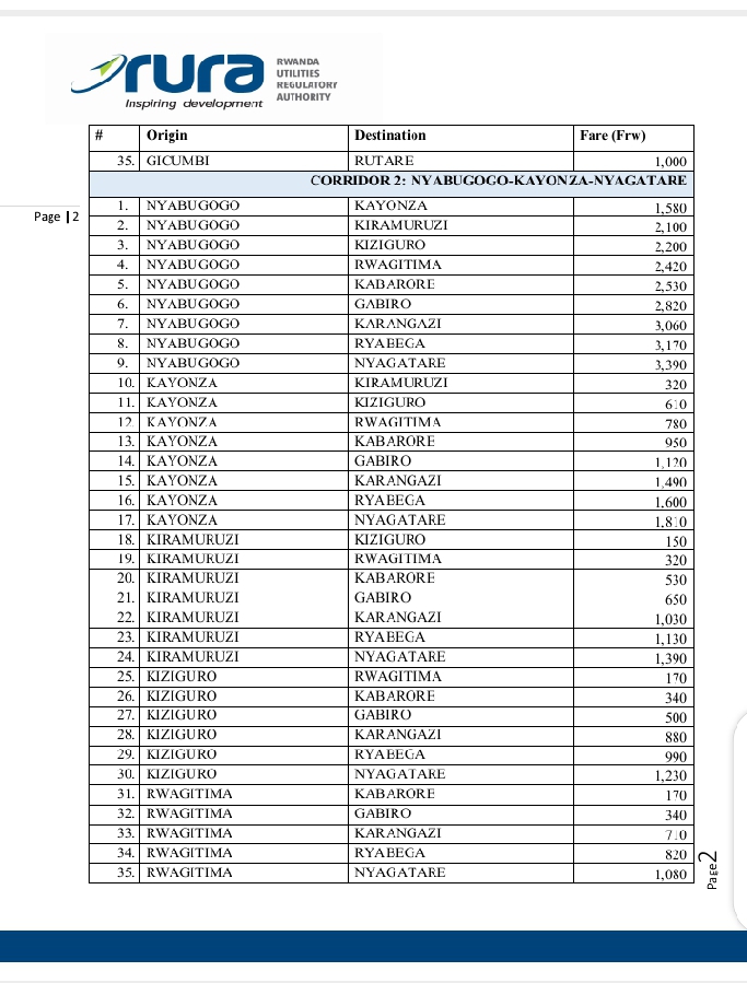
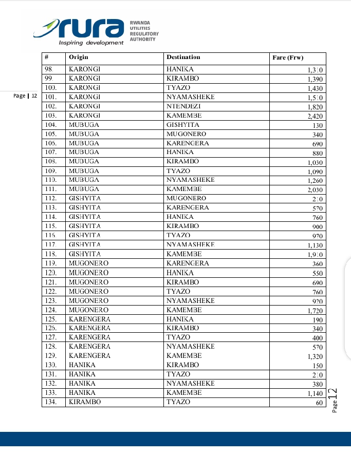
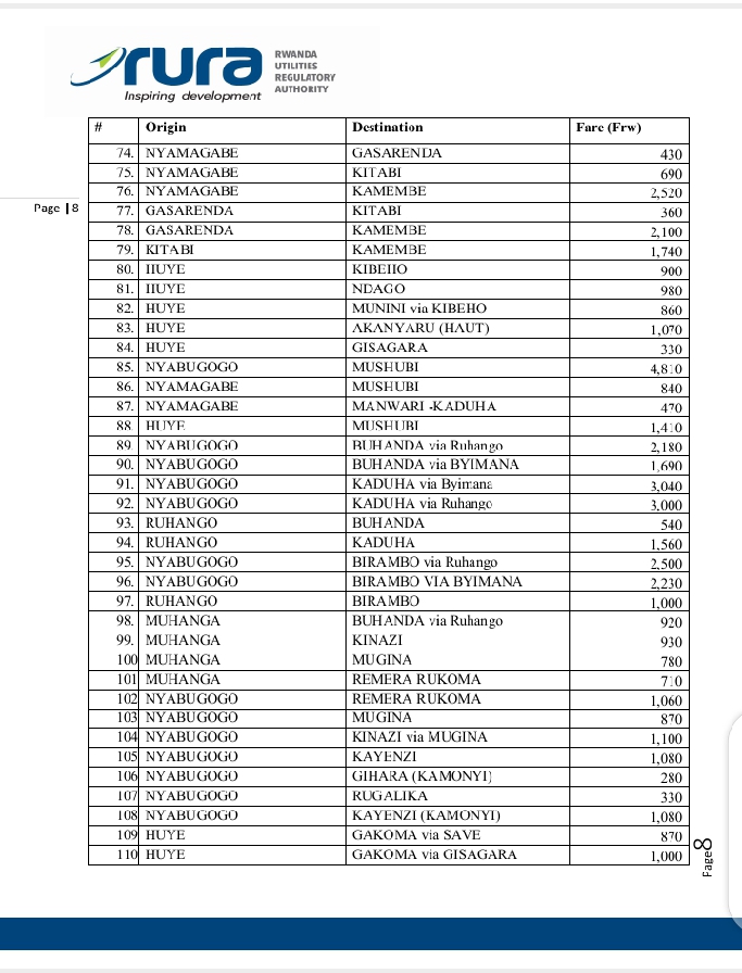
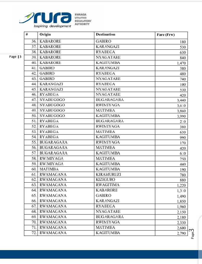
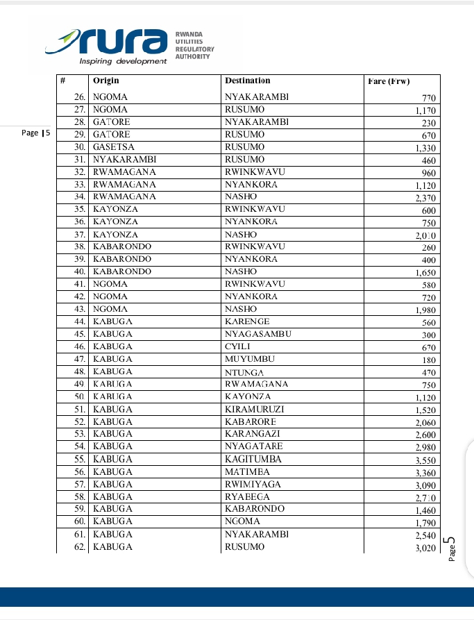
Reba ibiciro bishya by’ingendo bivuguruye

Urwego Ngenzuramikorere (RURA) ku mugoroba wo ku wa Kane tariki 22 Ukwakira 2020 rwashyize ahagaragara ibiciro bishya by’ingendo mu modoka zitwara abantu mu buryo bwa rusange.

Ibyo biciro biratangira kubahirizwa guhera kuri uyu wa Gatanu tariki ya 23/10/2020. Icyakora hari ahagiye hagaragaramo ko hatangajwe imibare itari yo, RURA ikaba yarasobanuye ko hagiye habamo kwibeshya, kandi ko birimo kunozwa.

Dore uko ibyo biciro bihagaze:

Kanda HANO urebe ibiciro byari byashyizweho mbere bitavuzweho rumwe

Ibitekerezo   ( 17 )

Haaaaa!!!!!! Ibinibyotwashakaga,naho
Ibinindibyobyaribiteyimpungenge.abaturarwanda.

Hakizana yanditse ku itariki ya: 24-10-2020  →  Musubize

chn mbere nambere ndabanza gushimira igihugu cy’Urwanda kidahwema kumva ibyifuzo by’abanyarwanda ibiciro ntacyo bidutwaye turabyishimiye cyn murakoze

Niyoyukuri Jerome yanditse ku itariki ya: 23-10-2020  →  Musubize

RARA yakoze cyane ibi biciro ntacyo bitwaye.Ikibazo mfite nifuzako baduha ibirometero bihuza uturere nintara kugirango tuge tubyifashisha tubara indemnitee kilometrique igihe twishyura abakozi bagiye mubutumwa bw’akazi.murakoze

Alias yanditse ku itariki ya: 23-10-2020  →  Musubize

Ariko RURa irasekeje pe!No kurwego nkuru habaho gutekinika imibare.Nyamata-Ramiro:840fr, Nyamata-Gashora :650fr,Ujya Gashora unyuzehe?Mu Bugesera bakosore pe!Ligne ya Nyamata-Busoro :830fr, Nyamata-Ruhuha:920fr,Ese ugera ibusoro wanyuzehe?Mbega Technic!

Alphonse yanditse ku itariki ya: 23-10-2020  →  Musubize

Sinzi impamvu badakosora amakosa bakoze nubwo bavugururaga ibiciro none hano babizambije

Px yanditse ku itariki ya: 23-10-2020  →  Musubize

Noneho ibintu ndabona ari sawa kuko mwagabanije ibiciro gusa mudufashije mwakomeza mukajya mwumva ibitekerezo by’ abaturage murakoze

Nkundima Charles yanditse ku itariki ya: 23-10-2020  →  Musubize

Ibi biciro rwose birasekeje!
Ni gute Nyamata-Busoro byaba 830Rwf naho Nyamata-Ruhuha bikaba 920Rwf kandi Ruhuha iri hagati ya Nyamata na Busoro?
Ni gute Ruhuha-Huye byaba 1990Rwf naho Nyamata-Huye bikaba 1980Rwf kandi Ruhuha iri hagati ya Nyamata na Huye?

Alias yanditse ku itariki ya: 23-10-2020  →  Musubize

Saw ariko sindanyurwa kuko Aya yiyongereye muhanga ruhango sindabyumva neza ruhango x yimutse? Kdi nibamutubarira kukirometero nigute mutwishyuza ibirometero tutakoresheje. Exp remera gare kugera Cher Rando angane Naya remera nyabugogo Koko??? Nibibaho muzige kurugendo rwomumujyi.

Habinshuti lldephonse yanditse ku itariki ya: 23-10-2020  →  Musubize

ESE mwari mubizi?RURA nayo iratekinika!Urugero:Huye_Ndago ni980F hanyuma Huye_Ndago_kibeho ni 900F!!! Ubwo naketse ko uba waciye I Cyahinda.Ikindi RURA itubarize impamvu ba nyiri companies bakubye inshuro 2 amafaranga yishyurwaga mbere ya Covid _19 bitwaje ko RURA itahabariye.Urugero:I Nyaruguru uturutse Ku Munini ugera Kamira yari 200f none NGO ni400f!!!!!Bariba.

Alias Stalon yanditse ku itariki ya: 23-10-2020  →  Musubize

Rura nidufashe isubiremo Nyamata_Ramiro kuko ishyizeho ayaruta igihe cya
covid19,mudutabare rwose ntimubyirengagize.

Ingabire yanditse ku itariki ya: 23-10-2020  →  Musubize

Rura ikoze ibiki Nyamata-Ramiro,mudutabare rwose

Ingabire yanditse ku itariki ya: 23-10-2020  →  Musubize

Mwaramutse ninshimiye uburyo leta idutekerezaho byaribikwiye ko ibiciro byagabanuka murakoze

Kaneza Claude yanditse ku itariki ya: 23-10-2020  →  Musubize

Aho muradukoreye n’ubwo nayo kuyabona bikigoranye kubera COVID-19.

Shingiro Moussa yanditse ku itariki ya: 23-10-2020  →  Musubize
  • 1
  • 2

Ohereza igitekerezo

Igitekerezo cyanyu kiragaragara kuri Kigali Today nyuma y'isuzuma kandi mu gihe kidatinze. Udashaka ko izina ryanyu rimenyekana wakoresha alias, Turabashimiye.

Amakuru aheruka