Imishahara y’abapolisi yikubye hafi kabiri

Bisabwe na Minisitiri w’Abakozi ba Leta n’Umurimo hamwe na Minisitiri w’Umutekano mu Gihugu kandi bigasuzumwa n’Inama y’Abaminisitiri ikabyemeza, Perezida wa Repubulika y’u Rwanda, Paul Kagame yazamuye imishahara y’abapolisi.

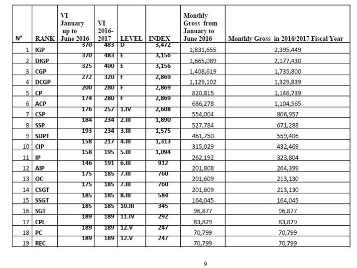
Iteka rya Perezida No001 ryo ku wa 14/01/2016 ryasohotse mu Igazeti ya Leta ya Repubulika y’u Rwanda kuri uyu wa 18/01/2016, rigena imishahara y’abapolisi, rigaragaramo izamuka ry’imishahara yabo hakurikijwe inzego z’imirimo barimo.

Umushahara mbumbe ugenerwa abapolisi buri kwezi ukubiyemo umushahara fatizo, indamunite z’icumbi, indamunite z’urugendo, inkunga ya Leta mu bwiteganyirize bw’umukozi n’inkunga ya Leta yo kuvuza umukozi.

Icyiciro cya mbere cy’izamurwa ry’iyi mishahara, abapolisi baratangira kugihembwa guhera muri uku kwezi kwa Mutarama 2016 naho icya kabiri kisumbuyeho bazagitangirane n’umwaka w’ingengo y’imari wa 2016/2017.

Imishahara mishya y'abapolisi. Icyiciro cya mbere ni umushahara wo guhera muri Mutarama kugeza Kamena 2016 naho igikurikiyeho kigatangirana n'ingengo y'imari ya 2016-2017.
Imishahara mishya y’abapolisi. Icyiciro cya mbere ni umushahara wo guhera muri Mutarama kugeza Kamena 2016 naho igikurikiyeho kigatangirana n’ingengo y’imari ya 2016-2017.

Iri teka rya Perezida risimbuye iryo ku wa 14/01/2013 rigena imishahara y’Abapolisi.

Iyi mbonerahamwe irerekana imishahara y'abapolisi yari isanzweho yagenwaga n'iteka ryo muri 2013.
Iyi mbonerahamwe irerekana imishahara y’abapolisi yari isanzweho yagenwaga n’iteka ryo muri 2013.

Imishahara y’abapolisi igenwa hashingiwe ku mbonerahamwe y’urutonde rw’imirimo kandi hakurikijwe amahame ngenderwaho mu kubara imishahara mu butegetsi bwa Leta.

Ibitekerezo   ( 21 )

byiza cyaneeee

Nsengamungu Aaron yanditse ku itariki ya: 1-03-2023  →  Musubize

Mwiriweneza ndabakunda cyane ndifuza kuba nafasha police nkanjya mbagezaho ,amakuru murakoze

Nshimiyimana Michael yanditse ku itariki ya: 18-12-2021  →  Musubize

Nyankubahwa Minister wabakozi ba leta n’umurimo nagerageze agere no muri private companies byumwihariko Security Companies
Mubyukuri Aba Security Guards barababaye rwose

Jean Claude Rudahunga yanditse ku itariki ya: 22-10-2020  →  Musubize

yewe ntabwo rcs yo amaso yaheze mukirere

alias yanditse ku itariki ya: 29-11-2016  →  Musubize

None se mwarimu we ntakizahinduka kuri salary.Mwarimu nawe hakwiye kurebwa uko yajyana n’igihe pe!

Alo yanditse ku itariki ya: 14-05-2016  →  Musubize

President Yarebyekure, Umupolisi Nawe Rekagendane Nigihe Naho Ababasebyango Babiyenzaho Babashakaho Amakosa Nabo Ntibakayakore Kuko Ntibareka Kubahahana Kandi Aribcyo Bashinzwe.

Elias yanditse ku itariki ya: 13-03-2016  →  Musubize

I’m of the view that security organs like the Police and Army should get the highest salary.This is because of their dedication and commitment.That’s why my lovely country has not experienced any security threat of late!Thanks.

Kwizera Benjamin yanditse ku itariki ya: 19-01-2016  →  Musubize

Mwarimu niwe usigaye inyuma nk’ikoti disi,tekereza mwarimu uhabwa umushahara ungana 25,000frw n’ikibazo. abarimu mwihangane disi siko byahoze

philos yanditse ku itariki ya: 19-01-2016  →  Musubize

ok biraryoshye

alisa yanditse ku itariki ya: 19-01-2016  →  Musubize

ariko abarimu bapfa iki na Leta y’urwanda koko? ahaaa,nzabandora ni umwana w’umunyarwanda.

philos yanditse ku itariki ya: 19-01-2016  →  Musubize

oyeeeeeee,muzehe wacu ndakwemera kabisa njye nababazwaga nimishaharayababasore bitangira igihugu,wasangaga abaturage bamwe babasuzugura kubera imishahara babona,none nizereko bikemutse,ububagiye kuba abasirimu gusa ,mugakoremwana mwegamiye leta ibitaho,gusa uniform zigihugu niba zizamurire imishahara ,ubundi hatekujya haba ubuhungiro kabakazi nkakandi murakoze muzehe wacu.

gasirikare yanditse ku itariki ya: 19-01-2016  →  Musubize

muzehe oyee rwose kubaha Ranks kugihe,umushahara mwiza,ahasigaye akazi kagiye kuba uburyohe mba ndoga bushakiro,ariko nizereko n’ingabo zacu Rdf nazo ariko bimezeee,hasigaye gukemura icy’abashomeri benshi badafite akazi tukareka kumva indirimbo y’abantu basaziye mukazi bavugango urubyiruko rwihangire imirimo,cyakora jye ndi muzehe nabanza kubaza abantu bakoze imyaka irenga 20 bahembwa na leta nasanga utagira busines nibura itanga imirimo kubantu nibura 5 ngahita ngusezerera gutryo gutryo

eugene yanditse ku itariki ya: 19-01-2016  →  Musubize
  • 1
  • 2

Ohereza igitekerezo

Igitekerezo cyanyu kiragaragara kuri Kigali Today nyuma y'isuzuma kandi mu gihe kidatinze. Udashaka ko izina ryanyu rimenyekana wakoresha alias, Turabashimiye.

Amakuru aheruka