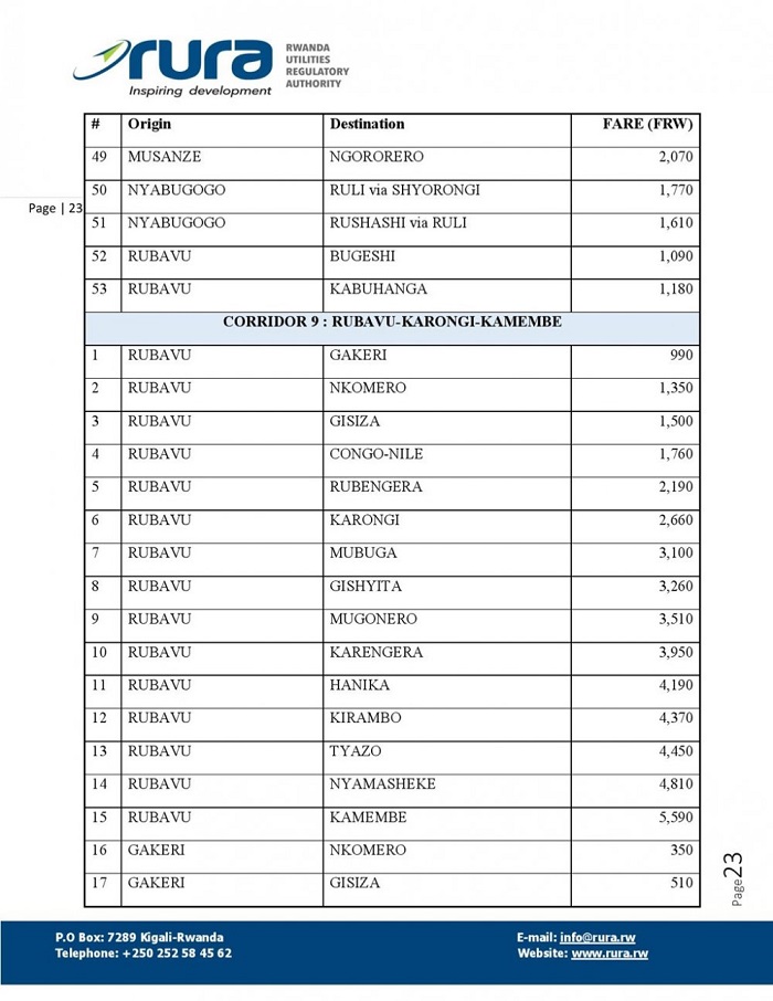
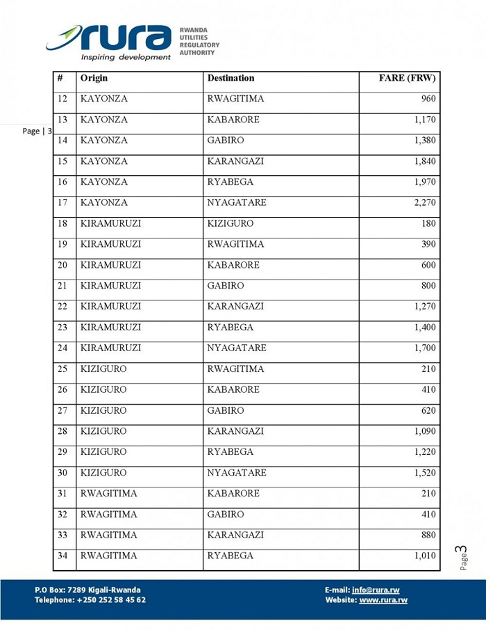
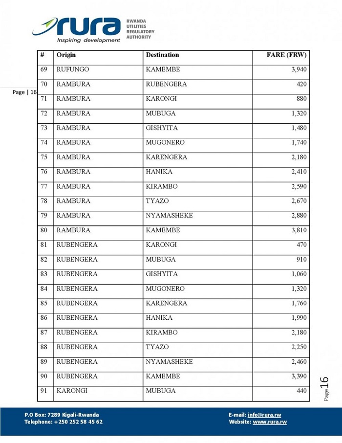
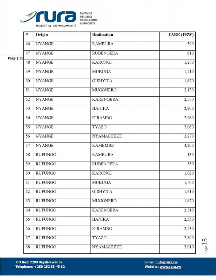
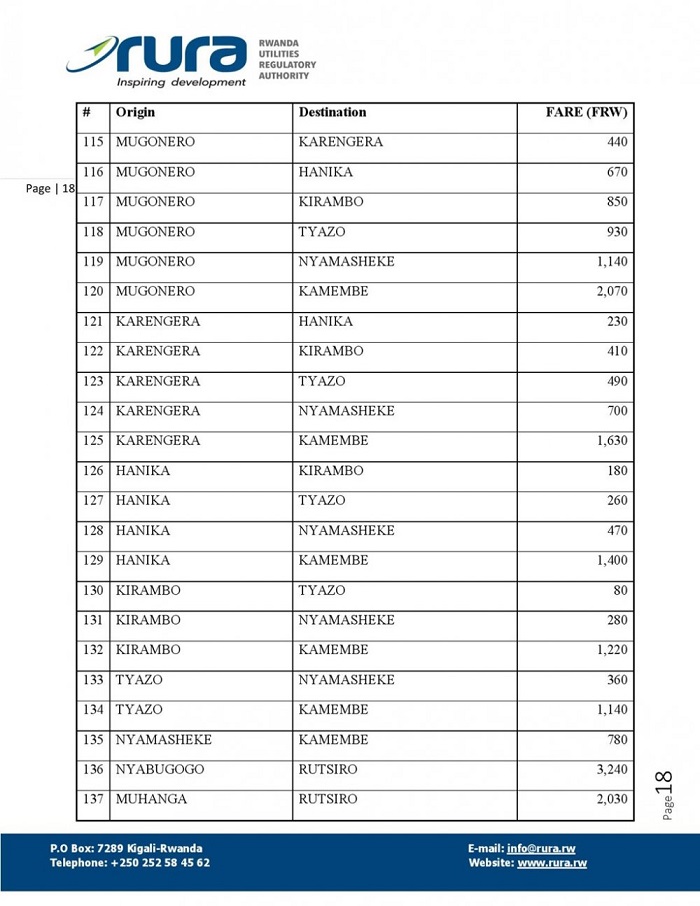
Reba uko ibiciro bishya by’ingendo mu modoka za rusange bihagaze

Urwego Ngenzuramikorere (RURA) rwatangaje ibiciro bishya by’ingendo mu Mujyi wa Kigali, ndetse n’ibiciro by’ingendo zihuza Intara. Ni ibiciro bigomba gukurikizwa guhera kuri uyu wa Kane tariki ya 15 Ukwakira 2020, nk’uko itangazo rya RURA ribivuga.

Ibitekerezo   ( 26 )

mubyukuri amafaranga yíngendo nimenshi mudufashije mwatuvuganira bakagabanya kuberako kubona amafaranga murikigihe biragoye pe nibyigeho murebe ukuntu mwabigenza murakoze ndabakunda abanyaRwanda muri rusange

MANIRAKIZA DANIEL yanditse ku itariki ya: 16-12-2020  →  Musubize

Ndi kumwe name mukomeze kuduha amakuru. All the way from Tanzania rusumo boda asanteni sana

January kajeje yanditse ku itariki ya: 23-10-2020  →  Musubize

arikose iyobavugako abashoramari bishyura abakozi bakanasora baziko ibyo abaturagebo batabikora simpakanyeko babikozebatyo bazikotwebwe dukurahehe ahobo baburiye icyonsabanuko ibi umubyeyiwacu abitubarizape kuko tutabanye kndi bikomeye

Ruth yanditse ku itariki ya: 21-10-2020  →  Musubize

Ahhhha twarumiwe

Jado yanditse ku itariki ya: 20-10-2020  →  Musubize

Nyamara turababaye, njye nifuzaga kumenya Niba nyakubahwa president wacu Paul Kagame ibintu ababizi kuko nziko atabishyigikira.hano hanze abantu barababaye cyane.
Icyifuzo
1.Mudusubirizeho ibiciro byambere ya Covid-19.
2.impinduka mwifuzako zibaho mbere yogufata ibyemezo mujye mubanza mugere nokuri wamuturage wo hasi nkuko nyakubwa abigenza.mubimwumvishe knd munamwumve.kuko siko abanyarwanda twese dutunze ama telephone cg ngo tube Kuma social media.
Ngaho amazi ngo yazamutse,nibindi mudufashe rwose cg mumpe ako kazi njye nangahemberwa njye mbazanira ibitekerezo byabaturage mubone gushyiraho ibiciro byibintu.
Mwikabyaramwe mvuze nabi kko.gusa ndaruhutse

Prince yanditse ku itariki ya: 18-10-2020  →  Musubize

Njye ntanimpamvu yo guhisha izina ndabaza mushyiraho ibibiciro byingendo mwagendeye kuki?
Ibitoro byaba byarazamutse c?ariko mwibukako hakiriho abakene?mwadufashije mukanya mu balancinga kuburyo buri wese yisabgamo basi.knd njye mbivuganye agahindape njye sinayabura Ayo ma Tick ariko mugerageje mukegera abaturage nibwo mwamenya agahinda baba bafite.ibiciro birazamuka uko byishakiye knd nuhembwa we agakomeza kubona Ayo yabonaga.basi mujye muzamura ibiciro muzamure nimishahara yabantu.
NB:buriya c mvuze nabi kko?mumbabarire.

Prince yanditse ku itariki ya: 18-10-2020  →  Musubize

Basubizeho ibya mbere cg bongere ho make kuko umuturage ntiyatateye imbere reba kuva Nyabugogo ugera i Kabuga byari 519fr bigera kuri 720fr ubwose ko mu gihe batwaraga 50% bishyura ga 750fr bitaniyehe koko.

HARERIMANA Alphonse yanditse ku itariki ya: 18-10-2020  →  Musubize

Nkurikije ukombibona ndabona Bisa nkaho arukubyibutsa abantu gusa ntacyagabanyutseho mugerageze mugabanye kuko birihejuru cyane mutugabanyirize munakurukize ibibihe turimo murakoze

mugenzi James yanditse ku itariki ya: 17-10-2020  →  Musubize

Nkurikije ukombibona ndabona Bisa nkaho arukubyibutsa abantu gusa ntacyagabanyutseho mugerageze mugabanye kuko birihejuru cyane mutugabanyirize munakurukize ibibihe turimo murakoze

mugenzi James yanditse ku itariki ya: 17-10-2020  →  Musubize

Ariko ubwo ngo RURA yagabanyijeho iki kubiciro koko? nibasubize kubiciro byari mbere ya covide-19 nibyo byaba byiza kurusha .

BEBE yanditse ku itariki ya: 17-10-2020  →  Musubize

Njyewe ndabona ibiciro bitagabanyutse cyane pee ark mudufashe mutubwire igiciro kiriho kuva nyabugogo ujya #rwagitima kuko ntacyo mwaduhaye kuriyo table of the ticket murakoze

Micle cater wayne yanditse ku itariki ya: 16-10-2020  →  Musubize

Ibibiciro ntabwobyatunejeje
Turasaba rura gusubiramo ibintu kuko ntacyobagabanyijehopeee
Bireba kunyungo zabatwara gusa ahubwo barebe nabagenzi murakoze

Nsabimana john yanditse ku itariki ya: 16-10-2020  →  Musubize

Ohereza igitekerezo

Igitekerezo cyanyu kiragaragara kuri Kigali Today nyuma y'isuzuma kandi mu gihe kidatinze. Udashaka ko izina ryanyu rimenyekana wakoresha alias, Turabashimiye.

Amakuru aheruka